أخبار العالم

البرنامج الحكومي يكشف عن أهمية دعم الأسرة في السعودية من خلال 10 معايير قوية للتماسك الاجتماعي

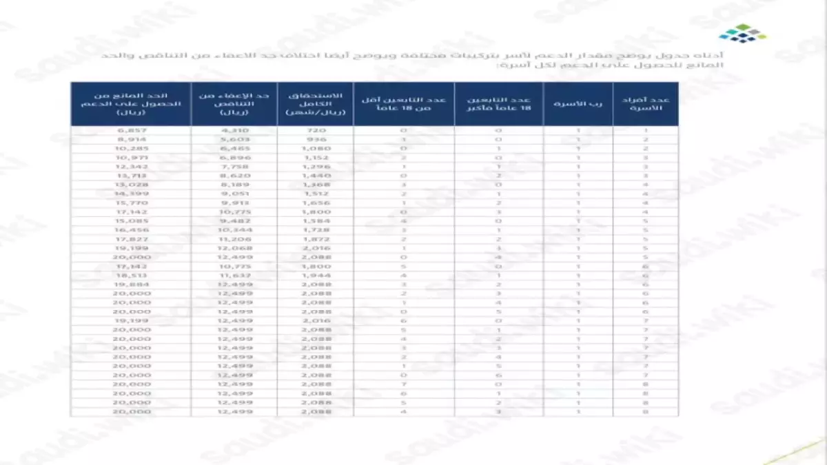
تعتبر الأسر في السعودية أحد الركائز الأساسية التي تعكس تماسك المجتمع، وقد تم مؤخراً الإعلان عن دعم مالي جديد من برنامج حساب المواطن ليكون متاحاً للأسر التي تضم حتى عشرة أفراد. هذا الخبر يأتي كجزء من جهود الحكومة لتعزيز الاستقرار الاجتماعي ودعم الأسر الكبيرة، مما يتيح لها الاستفادة من مظلة الدعم الاجتماعي.

يتطلب الاستفادة من هذا الدعم بعض الشروط الأساسية. يجب أن يكون المتقدم الرئيسي سعودي الجنسية ومتمتعًا ببطاقة التنقل المعتمدة، ولا يزيد عمره عن ستين عاماً. كما يتم استبعاد الأفراد الذين يعيشون في دور الإيواء أو السجون، ويجب أن يتوافق دخل الأسرة مع المعايير المحددة رسميًا. للأمهات المطلقات، يتوجب عليهن تقديم إثباتات قانونية تثبت أحقيتهن في الحضانة.

للبدء بتسجيل الطلب، يجب الدخول إلى المنصة الرسمية واختيار خيار “تسجيل جديد”. بعد ذلك، يتم إدخال رقم الهوية الوطنية ومعلومات الاتصال الأساسية، مع ضرورة تأكيد الهوية عبر رمز التحقق المرسل إلى الهاتف المحمول. الخطوة التالية هي إدخال البيانات المتعلقة بالأسرة، بما في ذلك معلومات عن جميع الأفراد والعقارات والحسابات البنكية لضمان دقة التقييم.

حاسبة الدعم

يوفر البرنامج أداة حاسبة ذكية عبر بوابة وزارة الموارد البشرية، تمكّن المواطنين من تقدير مبلغ الدعم المتوقع بناءً على عدد أفراد الأسرة وأعمارهم وإجمالي الدخل الشهري. هذا يسهم في تعزيز الشفافية وتيسير عملية التخطيط المالي للأسر.

العلاقة مبلغ الدعم (ريال سعودي)
رب الأسرة أو الفرد المستقل 720
تابع تجاوز 18 عاماً 360
تابع أقل من 18 عاماً 216

يتوقف صرف الدعم في اليوم العاشر من كل شهر ميلادي، ويستمر حتى نهاية عام 2026 بموجب توجيهات ملكية تهدف لتعزيز مستوى المعيشة وتحقيق حياة كريمة للمواطن السعودي.

اترك تعليقاً

لن يتم نشر عنوان بريدك الإلكتروني. الحقول الإلزامية مشار إليها بـ *

زر الذهاب إلى الأعلى